首页
走进科迈
产品中心
研发创新
新闻中心
可持续发展
联系我们
CN
CN
EN
走进科迈
企业概况
海内外机构
品牌文化
发展历程
企业荣誉
产品中心
硫化体系
防老体系
加工助剂
功能助剂
中间体
黏合体系助剂
研发创新
创新战略
研发平台
研发成果
产品标准化
新闻中心
企业新闻
公告通知
可持续发展
HSE
低碳行动
可持续发展报告
联系我们
联系方式
在线留言
产品中心
让橡胶更具使用价值
硫化体系
防老体系
加工助剂
功能助剂
中间体
黏合体系助剂
首页
/
产品中心
/
硫化体系
Vulcanization system
硫化体系
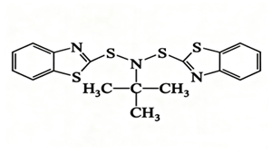
促进剂TBSI
N- 叔丁基 - 双(2-苯并噻唑)次磺酰胺
化学结构
CAS注册号
3741-80-8
执行标准
HG/T 5257-2017
促进剂DPG
二苯胍
化学结构
CAS注册号
102-06-7
执行标准
HG/T 2342-2010
不溶性硫磺
CAS注册号
9035-99-8
执行标准
GB/T 18952-2017
超锌硫化活性剂
1
2