2-巯基苯骈噻唑
二硫化二苯骈噻唑
N-环己基-2-苯并噻唑次磺酰胺
N,N-二环己基-2-苯并噻唑次磺酰胺
N-叔丁基-1,3-苯骈噻唑2-次磺酰胺
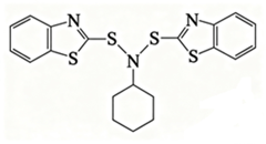
N-环己基-双(2-苯并噻唑)次磺酰亚胺